✦
✦
Lhian's
Christmas Advent Calendar
10
11
12
13
14
15
16
17
18
19
20
21
22
23
24
25
🎄 Merry Christmas!
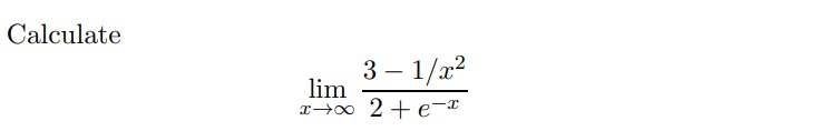
Answer:
Submit
Close
🔇
↺
Reset